Loading...
검색열기 메뉴
사진
로그인이 필요합니다.
사진
로그인이 필요합니다.
Tiny Pixel Farm
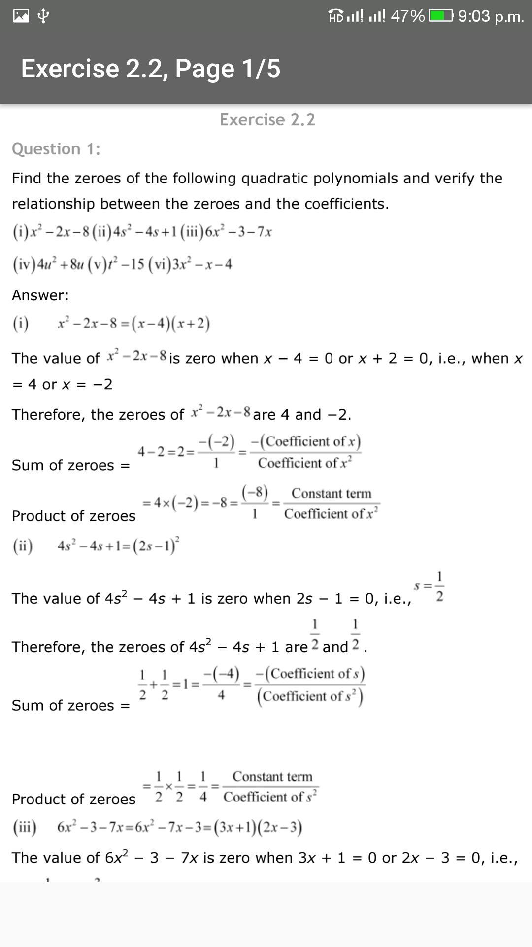
Class 10 Maths NCERT Solutions
4.6111
90 명 참여
무료
backward
forward
If you are searching for the best and the most accurate solutions for NCERT Class 10 Maths, then you need to download this app now! We have reviewed all the Class 10 NCERT maths questions before providing you with the solutions that will help you solve all the NCERT class 10 maths questions without any problem. We provide free solutions for NCERT maths class 10. It is available for download and can be viewed. You can also share our link for free CBSE class 10 maths NCERT solutions with your classmates.

NCERT Class 10 Maths Chapters
Chapter 1 - Real Numbers
Chapter 2 - Polynomials
Chapter 3 - Pair of Linear Equations in Two Variables
Chapter 4 - Quadratic Equations
Chapter 5 - Arithmetic Progressions
Chapter 6 - Triangles
Chapter 7 - Coordinate Geometry
Chapter 8 - Introduction to Trigonometry
Chapter 9 - Some Applications of Trigonometry
Chapter 10 - Circles
Chapter 11 - Constructions
Chapter 12 - Areas Related to Circles
Chapter 13 - Surface Areas and Volumes
Chapter 14 - Statistics
Chapter 15 - Probability
리뷰 리뷰작성
4.6111
90 명 참여
5
0
4
0
3
0
2
0
1
0
추가정보
가격
무료
다운로드 수
100 미만
등록일
2020년 06월 19일
업데이트
-
파일크기
28.1Mb
콘텐츠 등급
전체
인앱 상품
-
제공
Aaglod Apps
개발자
-
-
미스토어 앱 다운로드
이용약관
다운로드 및 설치 안내
사용자님의 리뷰
리뷰는 공개되며 수정할 수 있습니다. 리뷰를 삭제하지 않는 한 이전에 수정한 내용도 개발자와 사용자가 볼 수 있습니다.
100단어 이상의 리뷰가 가장 도움이 됩니다.
사용자님의 리뷰